Home

Staff
     
Consulting
               
Mathematica Tools

Customer Quotes
        
Contact

Older Mathematica Items

 

 

 

 

 

Scientific Arts

LoanFunctions.m Preview 3

LoanFunctions.m Package | Preview Page 1 | Preview Page 2 | Preview Page 3

 

The package gives both numerical and analytical results. Here is an example of this for the function Payment which has the following definition.

[Graphics:Images/page3_gr_1.gif]

First Load the package.

[Graphics:Images/page3_gr_2.gif]

Here is the monthly payment on a 30 year fixed rate mortgage taken on a $100000 home with a 15% downpayment. The interest rate is 7.2%.

[Graphics:Images/page3_gr_3.gif]
[Graphics:Images/page3_gr_4.gif]

This is the total of the payments over the life of this loan

[Graphics:Images/page3_gr_5.gif]
[Graphics:Images/page3_gr_6.gif]

Here is the monthly payment on a 30 year variable rate mortgage taken on a $100000 home with a 15% downpayment. The interest rate is 6.8% for 25 payments, 7.1% for 34 payments, and then 7.4% thereafter.

[Graphics:Images/page3_gr_7.gif]
[Graphics:Images/page3_gr_8.gif]

This is the total of the payments over the life of this loan.

[Graphics:Images/page3_gr_9.gif]
[Graphics:Images/page3_gr_10.gif]

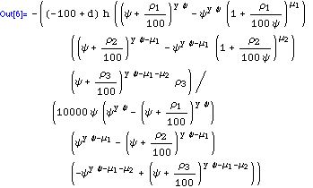
In addition to numerical results, explicit analytical expressions can be obtained.

Here is the analytical result corresponding to the variable loan case above. This expression is valid when the payment number, [Graphics:Images/page3_gr_11.gif], is greater than [Graphics:Images/page3_gr_12.gif].

[Graphics:Images/page3_gr_13.gif]
[Graphics:Images/page3_gr_14.gif]

<<<---Back


For further information on our services send email to info@scientificarts.com .
Contents of this web site Copyright © 1999-2011, Scientific Arts, LLC.

s