A Simple Analysis of Historical Sunspot Data
Data Smoothing Using a Linear Filter
Here is a plot of the number of sunspots per month over a period
of 2899 months. The data are contained in the file sunspots.dat
and are read into the variable, SunspotData.
(If the file sunspots.dat
is not placed in a directory that is contained in Mathematica's
$Path variable,
you can make it available by executing the function
where path is the path to the needed directory.)
Let's set some plotting options globally for this session.
![[Graphics:Images/sunspotanalysis_gr_3.gif]](Images/sunspotanalysis_gr_3.gif)
Here is quick visualization of the data.
![[Graphics:Images/sunspotanalysis_gr_5.gif]](Images/sunspotanalysis_gr_5.gif)
![[Graphics:Images/sunspotanalysis_gr_6.gif]](Images/sunspotanalysis_gr_6.gif)
This data can be "denoised" in a variety of ways. One
very simple approach is to apply a "moving average" filter.
This is most easily done using Mathematica's built in
function ListConvolve
which applies a linear filter kernel to an array of data (a list
in this case). Here we do this with a kernel of length 12.
![[Graphics:Images/sunspotanalysis_gr_7.gif]](Images/sunspotanalysis_gr_7.gif)
![[Graphics:Images/sunspotanalysis_gr_9.gif]](Images/sunspotanalysis_gr_9.gif)
![[Graphics:Images/sunspotanalysis_gr_10.gif]](Images/sunspotanalysis_gr_10.gif)
![[Graphics:Images/sunspotanalysis_gr_11.gif]](Images/sunspotanalysis_gr_11.gif)
It is clear to the eye that there is an underlying periodicity
to the data (indeed, this is the famous approximate 11 year sunspot
cycle). Let's total the data on a yearly basis. This is
a plot of the result: the month to month fluctuations in the first
graph above are much greater than the year to year variations.
![[Graphics:Images/sunspotanalysis_gr_12.gif]](Images/sunspotanalysis_gr_12.gif)
![[Graphics:Images/sunspotanalysis_gr_13.gif]](Images/sunspotanalysis_gr_13.gif)
![[Graphics:Images/sunspotanalysis_gr_14.gif]](Images/sunspotanalysis_gr_14.gif)
Data Smoothing Using a Low Pass Filter
We can compute the frequency spectrum of this data through the
use of Fourier
which computes the discrete Fourier transform of a list of numbers.
Here we show the absolute value of the resulting spectrum. The function
Drop is used to
remove the constant (zero frequency) component
![[Graphics:Images/sunspotanalysis_gr_15.gif]](Images/sunspotanalysis_gr_15.gif)
![[Graphics:Images/sunspotanalysis_gr_16.gif]](Images/sunspotanalysis_gr_16.gif)
The position of the absolute peak in this spectrum can be found
using Position.
Since we dropped the zero frequency term we add one to the result.
The peak appears in two positions since the absolute value of the
Fourier transform is symmetric about its center point.
![[Graphics:Images/sunspotanalysis_gr_17.gif]](Images/sunspotanalysis_gr_17.gif)
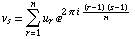
If we remember that the discrete Fourier transform has the analytic
representation (the actual algorithm used within Mathematica
is of course a fast numerical algorithm which is not a direct application
of this equation),
![[Graphics:Images/sunspotanalysis_gr_19.gif]](Images/sunspotanalysis_gr_19.gif)
we can see that the period corresponding to the peak can be computed
from its position and the length of the data set. Thus, the period
corresponding to this peak is estimated as (in years)
![[Graphics:Images/sunspotanalysis_gr_20.gif]](Images/sunspotanalysis_gr_20.gif)
The data also appears to have structure at low frequencies as
well as a secondary peak near approximately 29 and another broad
one near 46. These correspond to the respective periods,
![[Graphics:Images/sunspotanalysis_gr_22.gif]](Images/sunspotanalysis_gr_22.gif)
Let's low pass filter the Fourier transformed data to only take
those frequencies corresponding to positions less than 50 (taking
into account the zero frequency term).
Now inverse Fourier transform the result and plot it.
![[Graphics:Images/sunspotanalysis_gr_25.gif]](Images/sunspotanalysis_gr_25.gif)
![[Graphics:Images/sunspotanalysis_gr_26.gif]](Images/sunspotanalysis_gr_26.gif)
Compare this to the original plot of the yearly data.
![[Graphics:Images/sunspotanalysis_gr_27.gif]](Images/sunspotanalysis_gr_27.gif)
![[Graphics:Images/sunspotanalysis_gr_28.gif]](Images/sunspotanalysis_gr_28.gif)
This verifies our contention that the structure of this data is
dominated by the low frequency information.
|